truong dai hoc Nghe An, Nghe An University
TRƯỜNG ĐẠI HỌC NGHỆ AN
Nghe An University
English
  • Giới thiệu
    Thông điệp Hiệu trưởngGiới thiệu về trườngSơ đồ tổ chứcCơ sở vật chấtLịch sử phát triển
  • Các tổ chức, đoàn thể
    Đảng ủyHội đồng trườngBan giám hiệuCông đoànĐoàn thanh niên
  • Các đơn vị đào tạo
    Khoa Kế toán - Kiểm toánKhoa Kinh tế - Quản trị kinh doanhKhoa Tài chính - Ngân hàngKhoa Nông - Lâm - NgưKhoa Khoa học cơ bảnKhoa Công nghệ thông tinKhoa Ngoại ngữKhoa Tiểu họcKhoa Mầm nonKhoa Giáo dụcTrường Tiểu học và THCS thực hànhTrường Mầm non thực hành
  • Các đơn vị chức năng
    Phòng Tổ chức - Hành chínhPhòng Kế hoạch – Tài chínhPhòng Quản lý đào tạoPhòng Quản lý Khoa học & HTQTPhòng Thanh tra, Khảo thí và Đảm bảo chất lượngPhòng Công tác Chính trị và Học sinh, Sinh viênPhòng Quản lý cơ sở vật chấtTrung tâm Tuyển sinh và Truyền thôngTrung tâm Hợp tác và Phát triển đào tạoTrung tâm Số và Học liệuTrung tâm Bồi dưỡng Nhà giáo và Cán bộ quản lý giáo dục
TRƯỜNG ĐẠI HỌC NGHỆ AN
NGHE AN UNIVERSITY
truong dai hoc Nghe An, Nghe An University
  • Trang chủ
  • Điều hành
    • Lịch tuần
    • Cổng thông tin giảng viên
    • LMS NAU
    • iOffice NAU
    • Hệ thống thông tin quản trị
    • Văn bản, biểu mẫu
    • Chính sách chất lượng
  • Sinh viên
    • Cổng thông tin
    • Lịch thi
    • Lịch học chính quy, Liên thông, VB2
    • Hệ thống LMS
    • Cẩm nang sinh viên
    • Ký Túc Xá
    • Thông tin việc làm
    • Tra cứu văn bằng, chứng chỉ
    • Thư viện
    • Thư viện số
  • Tuyển sinh
    • Quy chế tuyển sinh
    • Xét tuyển đại học
    • Cẩm nang tuyển sinh
    • Kế hoạch tuyển sinh
    • Đề án tuyển sinh
    • Hoạt động tuyển sinh
    • Đại học chính quy
    • Tuyển sinh thạc sĩ
    • Đại học liên thông - VB2
    • Chứng chỉ Tiếng Việt cho người nước ngoài
    • Chứng chỉ Nghiệp vụ sư phạm
    • Đại học từ xa
  • Khoa
    • Khoa Kế toán Kiểm toán
    • Khoa Kinh tế - Quản trị kinh doanh
    • Khoa Tài chính - Ngân hàng
    • Khoa Nông - Lâm - Ngư
    • Khoa Khoa học cơ bản
    • Khoa Công nghệ thông tin
    • Khoa Ngoại ngữ
    • Khoa Tiểu học
    • Khoa Mầm non
    • Khoa Giáo dục
    • Trường Tiểu học và THCS Thực hành
    • Trường Mầm non Thực hành
  • Phòng
    • Phòng Tổ chức - Hành chính
    • Phòng Kế hoạch - Tài chính
    • Phòng Quản lý đào tạo
    • Phòng Quản lý Khoa học và Hợp tác quốc tế
    • Phòng Thanh tra, Khảo thí và Đảm bảo chất lượng
    • Phòng Công tác Chính trị và Học sinh, Sinh viên
    • Phòng Quản lý cơ sở vật chất
    • Trung tâm Tuyển sinh và Truyền thông
    • Trung tâm hợp tác và Phát triển đào tạo
    • Trung tâm Số và Học liệu
    • Trung tâm Bồi dưỡng Nhà giáo và Cán bộ quản lý giáo dục
  • Đào tạo
    • Đại học văn bằng 2
    • Đại học liên thông
    • Kế hoạch đào tạo
    • Chương trình đào tạo
    • Quy chế đào tạo
    • Đào tạo sau đại học
    • Ba công khai
  • Khoa học công nghệ
    • Tạp chí khoa học
    • Mẫu văn bản
    • Bài báo trong nước
    • Bài báo quốc tế
    • Đề tài khoa học
    • Sách tham khảo, chuyên khảo
    • Hội thảo khoa học
  • Đảm bảo chất lượng
    • Kết quả kiểm định
    • Báo cáo tự đánh giá
    • Chính sách chất lượng
    • Chính sách chất lượng của đơn vị
    • Quy trình ISO 21001:2018 hiện hành
    • Kế hoạch và kết quả hoạt động ĐBCL
    • Các văn bản liên quan đến hoạt động ĐBCL
    • Lịch tiếp công dân
    • Bảng câu hỏi khảo sát
  1. Đại học liên thông - VB2
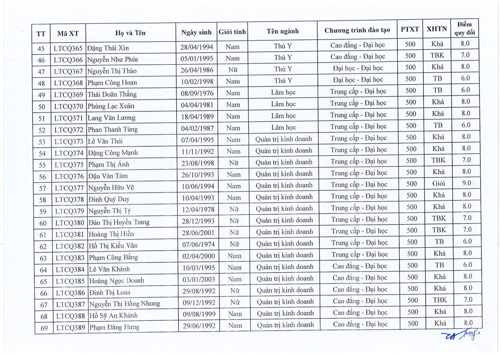
  2. Quyết định phê duyệt danh sách trúng tuyển hệ Đại học liên thông chính quy đợt 5 và Đại học liên thông VLVH đợt 4 năm 2024

Quyết định phê duyệt danh sách trúng tuyển hệ Đại học liên thông chính quy đợt 5 và Đại học liên thông VLVH đợt 4 năm 2024

19/12/2024 04:40 2988 lượt xem

 


Bài viết khác

Quyết định phê duyệt danh sách trúng tuyển hệ Đại học từ xa Trường Đại học Nghệ An đợt 9 năm 2025

Quyết định phê duyệt danh sách trúng tuyển hệ Đại học từ xa Trường Đại học Nghệ An đợt 9 năm 2025

30/12/2025
Thông báo Tuyển sinh đợt 9 đào tạo trình độ Đại học hình thức từ xa theo phương thức trực tuyến năm 2025

Thông báo Tuyển sinh đợt 9 đào tạo trình độ Đại học hình thức từ xa theo phương thức trực tuyến năm 2025

02/12/2025
Quyết định phê duyệt danh sách trúng tuyển hệ Đại học từ xa Trường Đại học Nghệ An đợt 8 năm 2025

Quyết định phê duyệt danh sách trúng tuyển hệ Đại học từ xa Trường Đại học Nghệ An đợt 8 năm 2025

02/12/2025
Quyết định phê duyệt danh sách trúng tuyển hệ Đại học từ xa Trường Đại học Nghệ An đợt 7 năm 2025

Quyết định phê duyệt danh sách trúng tuyển hệ Đại học từ xa Trường Đại học Nghệ An đợt 7 năm 2025

25/10/2025
Quyết định phê duyệt danh sách trúng tuyển hệ Đại học từ xa Trường Đại học Nghệ An Đợt 06 năm 2025

Quyết định phê duyệt danh sách trúng tuyển hệ Đại học từ xa Trường Đại học Nghệ An Đợt 06 năm 2025

18/09/2025
Thông tin tuyển sinh năm 2025 (Hệ Đại học từ xa)

Thông tin tuyển sinh năm 2025 (Hệ Đại học từ xa)

03/06/2025
truong dai hoc Nghe An, Nghe An University
TRƯỜNG ĐẠI HỌC NGHỆ AN
Nghe An University
LIÊN HỆ
  • Cơ sở 1: số 51, đường Lý Tự Trọng, khối 12, Phường Vinh Phú, tỉnh Nghệ An
  • Cơ sở 2: số 389, đường Lê Viết Thuật, Phường Vinh Lộc, tỉnh Nghệ An
  • Cơ sở 3: số 68 đường Nguyễn Trường Tộ, Phường Vinh Hưng, tỉnh Nghệ An
  • Cơ sở 4: số 32, đường Hồ Sỹ Dương, Phường Thành Vinh, tỉnh Nghệ An
  • Hotline: 02.383.522.643
  • Tư vấn tuyển sinh: 0975 313 755
  • nau@nau.edu.vn
DANH MỤC
  • Giới thiệu
  • Các tổ chức, đoàn thể
  • Các đơn vị đào tạo
  • Các đơn vị chức năng
  • Giảng viên
  • Sinh viên
-
  • Tuyển sinh
  • Khoa
  • Phòng
  • Đào tạo
  • Khoa học công nghệ
  • Đảm bảo chất lượng

© 2026 Bản quyền của Trường Đại học Nghệ An

  • Hotline

    Gọi số hotline 0975313755
  • Hotline

    Gọi số hotline 0947076236
  • Hotline

    Gọi số hotline 0975313755
  • Hotline

    Gọi số hotline 0947076236
  • Zalo

    Gọi và nhắn tin Zalo
  • Zalo

    Gọi và nhắn tin Zalo
  • FB

    Nhắn tin Facebook